LCC(Life Cycle Cost)에서 현재가치화법
(131회 1교시 기출)

건축시공기술사 131회 1교시 용어 문제 중 가장 생소한 문제가 아니었을까 생각합니다.
"LCC(Life Cycle Cost)에서 현재가치화법"
저도 처음 들어본 내용입니다. 이런 내용까지 알아야 하나 싶지만...
어찌하겠습니까. 용어로 나왔던 주제와 관련한 내용이 서술로 나오고 서술로 나왔던 아이템이 다시 용어로 나오는 경향이 분명히 있습니다.
기출 된 문제는 최소한의 개념 정리가 반드시 필요한 이유입니다.
*본 내용은 「건설사업의 LCC 분석 기법 및 적용 방안_최민수·이의섭」 내용을 참고로 작성하였습니다.
LCC 분석에 있어서 가장 중요한 포인트는
각 대안의 경제성을 평가하는 데 있어 시간적인 Base Line을 동일하게 한 후 평가해야 한다는 것 입니다.
이때 각 대안의 시점별 상이한 비용을 일정한 기준으로 환산하는 방법(=LCC 분석대안 경제성 평가 중 시간적 등가환산 기법)에는 아래 두 가지가 있고 그중 현재가치화법이 출제된 것입니다.
- 현재가치화법
- 대등균일연간비용법
[Key Point]
□ 현재가치화법
1. 정의
- 시설물의 생애 주기에 발생하는 모든 비용을 일정한 시점을 기준으로 환산하는 방법
- 통상 처음 비용이 발생한 시점을 기준으로 계산
2. 환산 방법
1) 초년도 비용 (Initial Cost)
- 이미 현재가치로 표시되어 있어 환산할 필요가 없음
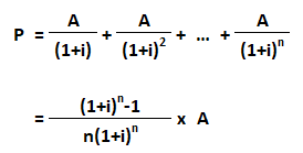
2) 반복비용 (Recurring Cost)
- 매년 동일하게 반복하는 반복 비용: A
- 할인율: i
- 분석기간:n
→ 반복 비용의 현재가치(P)는 다음과 같다.

3) 비반복비용 (Nonrecurring Cost)
- n 년 후에 1회만 발생하는 비반복 비용: F
- 할인율: i
→ 비반복 비용의 현재가치(P)는 다음과 같습니다.


□ 대등균일연간비용법
1. 정의
- 생애 주기에 발생하는 모든 비용이 매년 균일하게 발생한다고 가정할 경우 이에 대등한 비용은 얼마인지 판단하는 방법
- 균일한 연간 비용으로 환산하는 방법
→ 즉, 어떤 시점의 비용을 매년 균일하게 분할하여 지불한다고 가정할 경우에 이 균일한 비용과 대등한 금액으로 환산하는 방법
2. 환산 방법
1) 반복비용 (Recurring Cost)
- 이미 대등균일연간비용으로 표시되기 때문에 환산이 필요 없음
2) 대등균일연간비용
- 앞 현재가치화법에서 구한 내용을 역으로 활용해 구할 수 있음
→ 대등균일연간비용(A)은 다음과 같습니다.

[대제목 Sample]
1. LCC 현재가치화법 정의
2. 현재가치화법 계산 방법
- 초년도비용
- 반복비용
- 비반복비용
3. 타 분석기법 비교 (대등균일연간비용법)
4. LCC 활용 방안 (건설단계별)
5. LCC 관련 정책 발전 방향 제언

실제 답안지에
수기로 정리된 서브노트가 필요하신 분은
아래 링크 참고 부탁 드립니다.
(준비 중)
'건축시공기술사 > 용어' 카테고리의 다른 글
| [기술사-용어] 국내 기술형 입찰제도의 종류와 특징 (0) | 2023.10.05 |
|---|---|
| [기술사-용어] 시공능력평가 (1) | 2023.10.02 |
| [기술사-용어] 탄소중립도시와 녹색건축물 정의 (기후위기 대응을 위한 탄소중립, 녹색성장 기본법) (1) | 2023.09.17 |
| [기술사-용어] 중대산업재해와 중대시민재해 (중대재해 처벌 등에 관한 법률) (0) | 2023.09.11 |
| [기술사-용어] 철골공사에서 내화피복공사의 공법별 검사 (0) | 2023.09.10 |